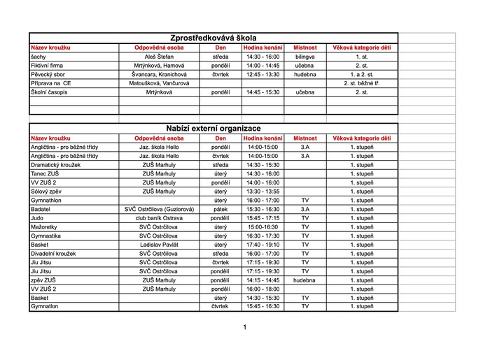
|
Zprostředkovává škola |
|||||
|
Název kroužku |
Odpovědná osoba |
Den |
Hodina konání |
Místnost |
Věková kategorie dětí |
| šachy | Aleš Štefan | středa | 14:30 - 16:00 | bilingva | 1. st. |
| Fiktivní firma | Mrtýnková, Hamová | pondělí | 14:00 - 14:45 | učebna | 2. st. |
| Pěvecký sbor | Švancara, Kranichová | čtvrtek | 12:45 - 13:30 | hudebna | 1. a 2. st. |
| Příprava na CE | Matoušková, Vančurová | 2. st. běžné tř. | |||
| Cesta za poznáním | Malohlavová, Mezírka, Folwareczná | od 14:00 | 6. - 8. ročník | ||
| Školní časopis | Mrtýnková | pondělí | 14:45 - 15:30 | učebna | 2. st. |
|
Nabízí externí organizace |
|||||
|
Název kroužku |
Odpovědná osoba |
Den |
Hodina konání |
Místnost |
Věková kategorie dětí |
|
Angličtina - pro běžné třídy |
Jaz. škola Hello |
pondělí |
14:00-15:00 |
3.A |
1. stupeň |
|
Angličtina - pro běžné třídy |
Jaz. škola Hello |
čtvrtek |
14:00-15:00 |
3.A |
1. stupeň |
|
Dramatický kroužek |
ZUŠ Marhuly |
středa |
14:30 - 15:30 |
|
1. stupeň |
|
Tanec ZUŠ |
ZUŠ Marhuly |
úterý |
14:30 - 16:00 |
|
1. stupeň |
|
VV ZUŠ 2 |
ZUŠ Marhuly |
pondělí |
14:00 - 16:00 |
|
1. stupeň |
|
Sólový zpěv |
ZUŠ Marhuly |
úterý |
13:30 - 13:55 |
|
1. stupeň |
|
Gymnathlon |
|
úterý |
16:00 - 17:00 |
TV |
1. stupeň |
|
Badatel |
SVČ Ostrčilova (Guziorová) |
pátek |
15:30 - 16:30 |
3.A |
1. stupeň |
|
Judo |
club baník Ostrava |
pondělí |
15:45 - 17:15 |
TV |
1. stupeň |
|
Mažoretky |
SVČ Ostrčilova |
úterý |
15:00-16:30 |
TV |
1. stupeň |
|
Gymnastika |
SVČ Ostrčilova |
úterý |
16:30 - 17:30 |
TV |
1. stupeň |
|
Basket |
Ladislav Pavlát |
úterý |
17:40 - 19:10 |
TV |
1. stupeň |
|
Divadelní kroužek |
SVČ Ostrčilova |
středa |
16:00 - 17:00 |
TV |
1. stupeň |
|
Jiu Jitsu |
SVČ Ostrčilova |
čtvrtek |
17:15 - 19:30 |
TV |
1. stupeň |
|
Jiu Jitsu |
SVČ Ostrčilova |
pondělí |
17:15 - 19:30 |
TV |
1. stupeň |
|
zpěv ZUŠ |
ZUŠ Marhuly |
pondělí |
14:15 - 14:45 |
hudebna |
1. stupeň |
|
VV ZUŠ 2 |
ZUŠ Marhuly |
pondělí |
16:00 - 18:00 |
|
1. stupeň |
|
Basket |
|
úterý |
14:30 - 15:30 |
TV |
1. stupeň |
|
Gymnatlon |
|
čtvrtek |
15:45 - 16:30 |
TV |
1. stupeň |